-
Posts
288 -
Joined
-
Last visited
Duality's Achievements
Reformed Changeling (13/23)
10.7k
Brohooves Received
Single Status Update
-
... Is it weird to want to frame mathematical equations and hang them on my walls instead of photos or paintings?
- Show previous comments 3 more
-
You doubt my Poshness? Scandalous!
*aggressively dons monocle*
Absolutely not common core maths. Only the most fabulous of maths for my walls.
*aggressively undons monocle*
Awww, thanks, Frosty!

The first equation on my list was hands-down the Riemann zeta function for the Euler product of primes:
,
where the left-hand side is the Riemann zeta function, which is itself unrivalled in fabulosity, and the right-hand side is an infinite product over all prime numbers. It's the closest thing we have to finding an actual pattern in the primes to date.

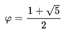
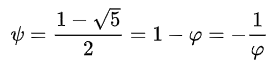
I'm also liking the looks of the closed-form expression of the Fibonacci series,
,
where

is the golden ratio and

is the negative inverse of the golden ratio.
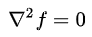
Other ones on the list are the equation which, if fulfilled, defines a function f as being a harmonic function (Twilight would be proud),
,
Euler's formula,

and various physical equations like the statement of the second law of thermodynamics,
,
the mathematical expression of wave-particle duality (aka the Englert-Greenberger-Yasin duality relationship),
,
and the principle of least action (which, when coupled with symmetries in underlying physics, is the thing that actually causes all physical conservation laws like conservation of energy, conservation of momentum, and conservation of probability),
The list isn't nearly finished yet, though.

-
-
- Show next comments 9 more
.png.9fafe3c9fb29cc56eadea1583ee32887.png.0ba3c8dd4ca522f580bdc3111ad3dbf2.png)